+ Reply to Thread
Page 5718 of 6299 FirstFirst ... 4718 5218 5618 5668 5708 5716 5717 5718 5719 5720 5728 5768 5818 6218 ... LastLast
Results 57,171 to 57,180 of 62982

Thread: Usd/Jpy

     
  1. TOP MESSAGES
    2026-01-21   11:49
    Best post today #1
    Accrued payments  211 USD

    usd/jpy का विश्लेषण
    सभी को नमस्कार! मुझे बेयरिश (लाल) सिनेरियो में गिरावट की बहुत असली संभावना लगती है। हालांकि, वह चैनल बाउंड्री 159.40 के आसपास मिलती है। उस लेवल को एक संभावित प्राइस टारगेट के तौर पर ध्यान में रखना चाहिए। आज का लेवल स्ट्रक्चर सेशन ओपन के पास एक ज़रूरी ज़ोन दिखाता है — बड़ा नहीं, लेकिन ज़रूरी है क्योंकि यह मौजूद है। एक और संकेत कि यह पेयर 156.50 की ओर नीचे जा सकता है, चैनल का नीचे की ओर झुकाव है, जिसकी निचली बाउंड्री 156.50 पर है।


    The attachment
    Превью
    2026-01-23   14:06
    Best post today #2
    Accrued payments  211 USD

    usd/jpy का विश्लेषण
    सभी को नमस्कार! मैं इस येलो टेक्निकल चैनल में usd/jpy में संभावित गिरावट पर नज़र रख रहा हूँ। आज के लिए, दिन का बैलेंस एरिया 157.95 पर है, लेकिन उस लेवल तक पहुँचने से आगे और गिरावट की संभावना कम नहीं होगी। मैं कम से कम 157.00 और फिर 156.50 को टारगेट कर रहा हूँ और वहाँ से फिर से आकलन करूँगा।
    आज के लेवल खुद ही तेज़ी की सोच को कम करते हैं: चैनल की ऊपरी बाउंड्री और नीचे जाती ट्रेंडलाइन 158.60 पर है। अगर कीमत ऊपर भी जाती है, उदाहरण के लिए, 159.00 तक, तो भी वापस नीचे जाने का चांस काफ़ी ज़्यादा रहेगा। ये मीडियम-टर्म ट्रेडिंग फ्रेमवर्क में इंट्राडे प्राइस व्यवहार पर मेरे विचार हैं।


    The attachment
    Превью
  2. #5812
    Senior Member afandi is on a distinguished road afandi's Avatar
    Join Date
    Aug 2013
    Posts
    758
    Thanks
    0
    Thanked 26 Times in 19 Posts
    SubscribeSubscribe
    subscribed 0
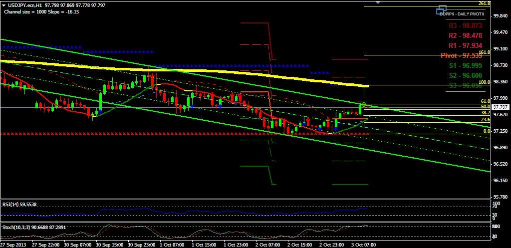
    the H1 time frame charts on currency pairs usd/jpy is showing that
    yesterday high at 98.07 and yesterday low at 97.14
    such as the support resistance on
    R3 = 98.83
    R2 = 98.45
    R1 = 97.9
    Pivots = 97.52
    S1 = 96.97
    S2 = 96.59
    S3 = 96.04
    with today's market position is at point 97.63
    then I strongly recomended you to the open position BUY
    consideration for stop loss at 97.38 and take profit at 97.88 Good luck all

    Though trading on financial markets involves high risk, it can still generate extra income in case you apply the right approach. By choosing a reliable broker such as InstaForex you get access to the international financial markets and open your way towards financial independence. You can sign up here.


  3. #5811
    Senior Member rico26 has a spectacular aura about rico26 has a spectacular aura about rico26's Avatar
    Join Date
    Sep 2013
    Posts
    1,352
    Thanks
    3
    Thanked 200 Times in 95 Posts
    SubscribeSubscribe
    subscribed 0
    Data Tipe = Pivot Point
    Pair= USDJPY
    Time Frame = Dayly / 2013.10.03

    Resistance 3 = 98.84
    Resistance 2 = 98.46
    Resistance 1 = 97.90
    Pivot Point = 97.52
    Support 1 = 96.96
    Support 2 = 96.58
    Support 3 = 96.02

    This calculation is not a reference to create the opening position but merely an approximate calculation of the price movement.
    I am not responsible for any errors that occur because the only information from the previous calculation

    Though trading on financial markets involves high risk, it can still generate extra income in case you apply the right approach. By choosing a reliable broker such as InstaForex you get access to the international financial markets and open your way towards financial independence. You can sign up here.


  4. #5810
    Senior Member Boran7 will become famous soon enough Boran7's Avatar
    Join Date
    Dec 2012
    Posts
    327
    Thanks
    0
    Thanked 55 Times in 39 Posts
    SubscribeSubscribe
    subscribed 0
    A couple can be safely considered for the purchase, as we can see on the daily chart has formed a long-term support level, sloping it is now the pair is testing the (touch point) 97.25-course has already started to wrap the north and on the 4 hour chart can be seen forming a bullish divergence and a buy signal MACD, waiting for growth to 98.70.

    Though trading on financial markets involves high risk, it can still generate extra income in case you apply the right approach. By choosing a reliable broker such as InstaForex you get access to the international financial markets and open your way towards financial independence. You can sign up here.


  5. #5809
    Senior Member javeed is on a distinguished road javeed's Avatar
    Join Date
    Jul 2013
    Posts
    467
    Thanks
    0
    Thanked 38 Times in 26 Posts
    Daily pivot Fibonacci points: Resistance levels: R1: 97.88 R2: 98.09 R3: 98.45 Support levels: S1: 97.16 S2: 96.96 S3:96.59

    Though trading on financial markets involves high risk, it can still generate extra income in case you apply the right approach. By choosing a reliable broker such as InstaForex you get access to the international financial markets and open your way towards financial independence. You can sign up here.


  6. #5808
    Senior Member jenny is an unknown quantity at this point jenny's Avatar
    Join Date
    Sep 2013
    Posts
    95
    Thanks
    4
    Thanked 10 Times in 8 Posts
    SubscribeSubscribe
    subscribed 0
    USD/JPY acha pair hai mujy iss pair se kafi earning hoi hai aur main ne aaj tek iss pair se kebi loss nehi khaya, mera trading kerny ka seb se major pair usd/jpy hi hai jis se earning ho rehi hai

    Though trading on financial markets involves high risk, it can still generate extra income in case you apply the right approach. By choosing a reliable broker such as InstaForex you get access to the international financial markets and open your way towards financial independence. You can sign up here.


  7. #5807
    Senior Member omar555ak will become famous soon enough omar555ak will become famous soon enough omar555ak's Avatar
    Join Date
    Jul 2012
    Posts
    622
    Thanks
    0
    Thanked 122 Times in 43 Posts
    SubscribeSubscribe
    subscribed 0
    USD/JPY pair is now up trend. The price already breakout daily pivot point (97.539). I think the price may touch daily resistance 1 level (97.934).

    Though trading on financial markets involves high risk, it can still generate extra income in case you apply the right approach. By choosing a reliable broker such as InstaForex you get access to the international financial markets and open your way towards financial independence. You can sign up here.


  8. #5806
    Senior Member kokty is on a distinguished road kokty's Avatar
    Join Date
    Aug 2013
    Posts
    684
    Thanks
    0
    Thanked 41 Times in 29 Posts
    the pair broke fibo 23 to up way

    stochastic refers to up way also

    so the target is buy the pair to fibo 38

    if the pair broke fibo 23 to down way we will cancel the up view

    Though trading on financial markets involves high risk, it can still generate extra income in case you apply the right approach. By choosing a reliable broker such as InstaForex you get access to the international financial markets and open your way towards financial independence. You can sign up here.


  9. #5805
    Senior Member fx3g will become famous soon enough fx3g's Avatar
    Join Date
    Sep 2013
    Posts
    430
    Thanks
    0
    Thanked 96 Times in 15 Posts
    time frame- H1
    analysis Method- Techanical
    the price is continue in the down trend direction and now its at the fibo 50 level with daily resistance 97.90. here the price may be rejected up movement and flow in the major down trend direction. short this pair with breaking support at 97.60
    trade- short position.
    take profit@97.00
    stop loss@98.00
    good luck.

    Though trading on financial markets involves high risk, it can still generate extra income in case you apply the right approach. By choosing a reliable broker such as InstaForex you get access to the international financial markets and open your way towards financial independence. You can sign up here.


  10. #5804
    Senior Member n123 is on a distinguished road n123's Avatar
    Join Date
    Sep 2013
    Posts
    1,074
    Thanks
    0
    Thanked 33 Times in 32 Posts
    SubscribeSubscribe
    subscribed 0
    usd/jpy technical analysis basis of stochastic(5,3,3) and adx(14) for last few hours

    stoch(5,3,3)
    main : 13.04
    signal : 31.48

    adx(14)
    adx : 40.73
    +di : 19.44
    -di : 16.85

    so we see the market
    condition : neutral
    overall trend : bullish
    timeframe : m15

    Though trading on financial markets involves high risk, it can still generate extra income in case you apply the right approach. By choosing a reliable broker such as InstaForex you get access to the international financial markets and open your way towards financial independence. You can sign up here.


  11. #5803
    Senior Member hamza4916 is on a distinguished road hamza4916's Avatar
    Join Date
    Aug 2012
    Posts
    307
    Thanks
    0
    Thanked 16 Times in 6 Posts
    A fairly entertaining Asian session since the open of the Tokyo market, with the Yen initially displaying a combatant performance on a lower Nikkei, yet that mirage lasted roughly 1h, time in which a change in sentiment towards the Japanese index, coupled with positive data in China, supported rises in G10 currencies vs JPY and USD.

    Though trading on financial markets involves high risk, it can still generate extra income in case you apply the right approach. By choosing a reliable broker such as InstaForex you get access to the international financial markets and open your way towards financial independence. You can sign up here.


+ Reply to Thread
Page 5718 of 6299 FirstFirst ... 4718 5218 5618 5668 5708 5716 5717 5718 5719 5720 5728 5768 5818 6218 ... LastLast

Subscribe to this Thread (15)

Posting Permissions

  • You may not post new threads
  • You may not post replies
  • You may not post attachments
  • You may not edit your posts

Currently Active UsersCurrently Active Users

There are currently users online. members and guests

Forex Forum India | Forex Community Place Statistics Forex Forum India Statistics

Most users ever online was .

Welcome to our newest member,

Threads:

Posts:

Member: