-
time chart 4h
the pair will go up to fibo 23.6
I see the pair will go to up way to 0.9156
stochastic refers that the pair will go up
so our target buy from 0.9048 and our target will 110pips
http://charts.mql5.com/2/34/audusd-h...orex-group.png
=(:woo:
-
hi;;;
time chart 4h
will sell:0.9048
will go down:0.8992
pips:63
http://charts.mql5.com/2/34/audusd-h...ex-group-2.png
stochastic refers that the pair will go down
-
My analysist for audusd today,15 july 2013 using open price market at 00.00 broker time strategy
daily open 0.9070
buy stop 0.9090 tp 0.9110 sl 0.9030
sell stop 0.9050 tp 0.9030 sl 0.9110
happy enjoy trading...
-
:))):yahoo::(
http://charts.mql5.com/2/34/audusd-d...ex-group-3.png
time frame 1d
will sell:0.9075
will go up:0.8992
pips:77
:respect::peace:
-
elliott irregular flat correction down 0.8980 current fall is near an end of wave qaround 0.8979 zone arally should then procede to above 0.9167 fall below 0.8891 would cancel this scenario
support and resistances
res2 0.9275
res1 0.9167
piovt 0.9083
sup1 0.8976
sup2 0.8891
-
Aud/usd analysis for 07.15.2013 by using pivot indicator.
r3: 0.93493
r2: 0.92690
r1: 0.91586
pivot: 0.90783
s1: 0.89679
s2: 0.88876
s3: 0.87772
-
Aud/usd ,15/7/2013
जोड़ी की कमी दिशा : बढ़ती .
आज के लिए अपेक्षित लक्ष्य: 0,914 - 0,918
-
Hi,,
in the chart 1h we can see the pair will go to up way in the future
I see the pair will go to 0.9146
I expect from this analyze that the price will go to up way
so buy from 0.9092 to 0.9146
good luck
-
today i like to buy this pair @ 0.9077
my stop loss of the day @ 0.9046
half take profit for today @ 0.9105
and further half take profit @ 0.9140
-
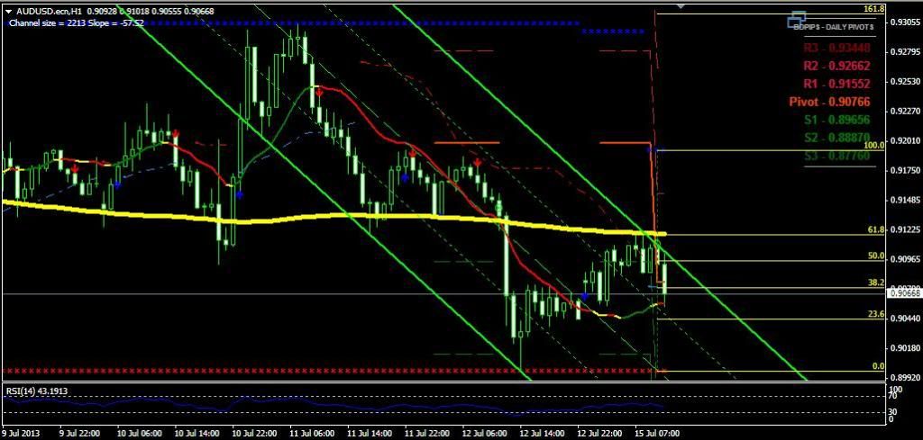
AUD/USD pair is now down trend. The price already touched daily pivot point (0.90766). I think the price may touch Fibo 23.6 level.
http://i1311.photobucket.com/albums/...ps5ceb8953.jpg