-
The price of the pair traded between a high of 130.39 and a low of 129.54, closed at 130.02. Today the pair trades below the resistance line of 130.65.
Downside Scenario: EURJPY could decline to the levels of 129.00 then 128.10, if the resistance line of 130.65 holds.
Upside Scenario: Upside penetration of the resistance line of 130.65 could send the pair to the levels of 131.50 then 132.30.
http://4.bp.blogspot.com/-P096g98Rzq...600/EURJPY.jpg
-
Daily pivot Fibonacci points: Resistance levels: R1: 130.51 R2: 130.75 R3: 131.04 Support levels: S1: 129.65 S2: 129.45 S3: 129.30
-
EUR/JPY intraday: resistance @t 130.4, BEARISH trend, appears underneath its resistance.
Pivot@ 130.4
My choice: Open SELL trade at 130.3 with targets at 129.75 and 129.35 in extension.
Alternate choice conditions: On top of 130.4 check for further up-side with 130.75 and 131.15 as targets.
http://dl.dropbox.com/u/51561036/scr...819-184851.jpg
-
EUR/JPY analysis by using pivot indicator. (H4)
R3 130.830
R2 130.508
R1 130.309
pivot 129.986
S1 129.664
S2 129.465
S3 129.142
-
The following data is predicted based on indicators that we use for the currency pair EURJPY today, for today's resistance levels as follows: RI (130.56) R II (130.88) R III (131.30). and to this day support levels as follows: SI (129.41) S II (129.10) S IIII (128.68)
recommendation:
you can make sell limit in r III because i believe market will reversal in there
-
As a matter of fact Eur/Jpy is going long and there is every tendency that it will hit 131.05 today. Again, with the indicators like stochastic , moving averages and the candle on the weekly chart, it is a sure banker.
-
Eur/jpy technical analysis
date : 08.18.2013
time : 13:15 GMT
time frame : 15 min
indicator :
1) RSI (14)
value: 52.19
2) MACD (26,12,9)
value: -0.1297
3) ADX (14)
value: 24.09
4)CCI(14)
value: -37.27
overall trend - slightly bearish.
-
eur/jpy technical analysis by using : average directional movement index wilder(14) & average directional movement index(14) on 19.08.13
timeframe : 1 hour
time : 1600
market trend : up
adx wilder(14) level
style : 19.51
+di : 29.26
-di : 13.81
adx(14) level
adx : 29.54
+di : 20.22
-di : 15.82
-
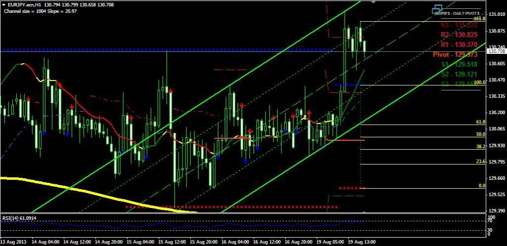
EUR/JPY pair price already touched daily resistance 2 level (130.825). Now the pair try to move down ward. I think the price may touch Fibo 100.0 level.
http://i1311.photobucket.com/albums/...ps7f081801.jpg
-
http://charts.mql5.com/2/308/eurjpy-...orex-group.png
hi
we can see in the 1d chart
the pair can close up the up trend line
i see the pair will go to up way to 132.56
stochastic refers that the pair will go up
so our target buy from 130.65 and our target will 200pips
Good luck