-
My daily trading,I hope the day is a success ...
USD/CAD (Daily Trade)
Open : 1.0375
Resistance : 1.0448 1.0468 1.0498
Support : 1.0267 1.0247 1.0217
High / Low : 1.0438/ 1.0367
Range : 71 pips
Running Price : 1.0432
for intraday trade today suggest BUY at the level 1.0400, stop loss at the level 1.0367, target take profit at the level 1.0468 or TP 1.0498
-
today i like to buy this pair @ 1.0404
my stop loss of the day @ 1.0394
half take profit for today @ 1.0418
and further half take profit @ 1.0437
-
The pair now has managed to overcome two very strong resistance level of 0400-level figure and then could not resist, and 200 moving as the pair came close to another resistance zone 0440 - a breakthrough that could eventually open a local maximum in the month 0600 figures on the south do not even watch .
-
time frame- M30
the macd indicator is now giving us short signal. the price is rejected from the daily resistance at the 1.0434. if this is break the support at the 1.0400 then it will be continue falling and try to hit the 1.0369. we can short this pair with the stop loss at 1.0450
good luck
-
Today the pair completed the remedial stage of the south and reached a new weekly high (broke through resistance around 0400 which also took the blue alligator slide), a couple on the daily chart has formed a bullish candle and absorption capacity above the 0400 figure of at least opened up the area 0490-0500.
-
bohat bohat shukriya tamam users ka. Dear USD/CAD ak acha magar bohat kam hona wala pair hai. Baz uqat is pair pa hum kafi earn kar lata hain or baz uqat is pa hum kafi lose kar data hain. Ya sab hamari working pa depend karta hai. So always see the analysis reports.
-
Hi,,
in the chart 1h we can see the pair will go to down way in the future
I see the pair will go to 1.0379
I expect from this analyze that the price will go to down way
so sell from 1.0421 to 1.0379
good luck
-
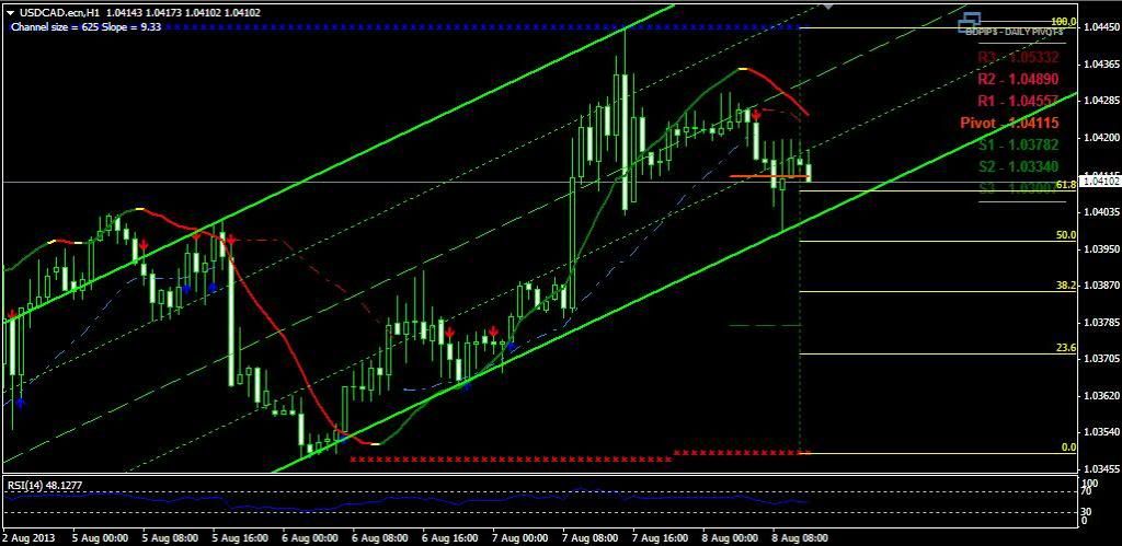
Usd/cad analysis for 08.08.2013 by using pivot indicator.
r3: 1.05309
r2: 1.04871
r1: 1.04544
pivot: 1.04106
s1: 1.03779
s2: 1.03341
s3: 1.03014
-
Over the last week the pair very well risen and now trades will go a very important resistance level 1.04420, It's clear that there is some support at around 1.0400, and I think that as long as the price will be hanging out in this range until the upper bound estimate breaks .. and FIHM can still fly a few figures ... about to 1.0560 .
-
USD/CAD pair is now down trend. The price already touched daily pivot point (1.04115). I think the price may touch Fibo 50.0 level and lower trend line.
http://i1311.photobucket.com/albums/...ps700163c9.jpg