-
usd/cad market analysis by using : average directional movement index wilder(14) & average directional movement index(21)
adx wilder(14) level
style : 11.55
+di : 20.96
-di : 17.05
adx(21) levels
adx : 17.77
+di : 20.27
-di : 14.43
time : 0900
date : 18.07.2013
timeframe : 1 hour
-
The pair intraday analysis at H1 using williams percentage range and moving average are showing the
pair may on consolidation. the reversal may start from bearish trend to bullish trend. Just wait and see for this pair. Today SNR :
R3 : 1.0527
R2 : 1.0485
R1 : 1.0448
Pivot level : 1.0400
S1 : 1.0361
S2 : 1.0363
S3 : 1.0275
-
the pair USDCAD on the hourly chart yesterday's decline was waiting, now clearly shows a double bottom with a slope to the left, which means that the upper current of the latter figure will be higher than the previous , bought another from the current 1.0310 with a stop, the first target will be at 1.0473 What follows is a rollback because there is good resistance to further increase the level of 1.0535...
-
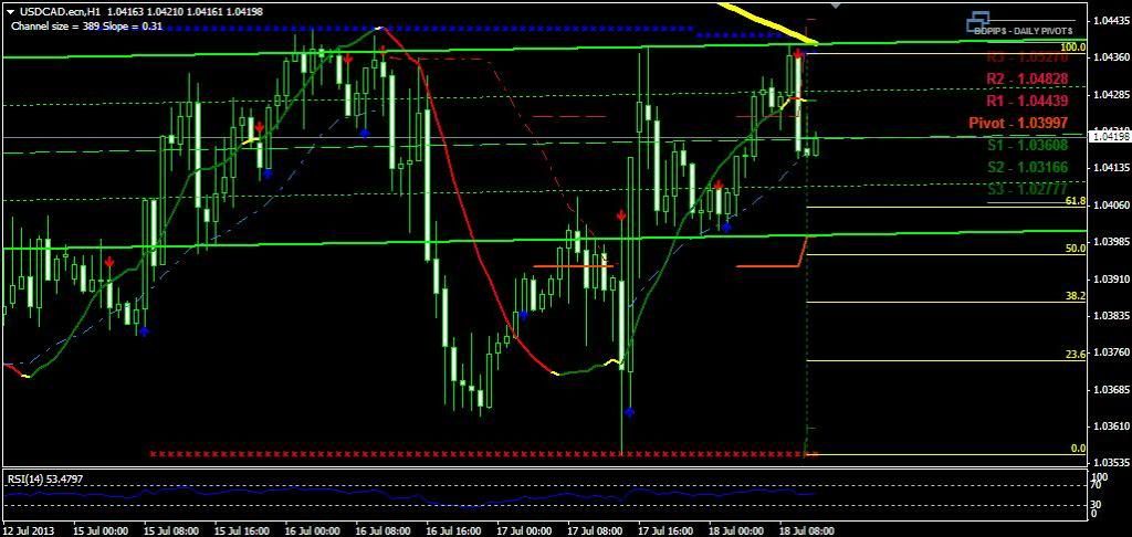
USD/CAD pair price already breakout daily resistance 1 level (1.04439) and touched upper trend line. Now the price is down trend. I think the price may touch Fibo 61.8 level.
http://i1311.photobucket.com/albums/...psb5963dc5.jpg
-
The currency pair USD / CAD situation following - four red squares on the indicator of Genesis, LED Arrow - arrow down, the stochastics intersect and unfold down red candle closes below the level 5EMA, Heiken Ashi revealed a new impulcnuyu bearish candle with a large lower shadow, therefore have a signal at shortstop.
-
pair maintaining upside
has climbed from 1.0400 handle overnight to open the European hours
towards resistance at 1.0430/40
-
USD / CAD continues to trade within a side channel 0440 - 0357, a few hours ago the rebound from the top of the channel, there was a formation of a bearish candlestick formation and absorption sell signal MACD (hourly chart), well, that seems to bear once again the lower boundary of the channel 0357.
-
today i like to buy this pair @ 1.0377
my stop loss of the day @ 1.0355
half take profit for today @ 1.0415
and further half take profit @ 1.0441
-
The pair put her in the moving sineyu above which it can not be strengthened, it seems here there was a strong seller, most likely he will lead the pair to the south towards the medium-term trend top + strong horizontal resistance of 0438 (the upper area of fractals), Stochastic is preparing to show the southern signal, the purpose-0330 .
-
Hi,,
in the chart 1h we can see the pair will go to up way in the future
I see the pair will go to 1.0467
I expect from this analyze that the price will go to up way
so buy from 1.0412 to 1.467
good luck