hi;;;
time frame daily chart
http://charts.mql5.com/2/34/eurjpy-d...ex-group-2.png
will buy:129.62
will go up:131.62
profit:200pips
:woo::happy:
Printable View
hi;;;
time frame daily chart
http://charts.mql5.com/2/34/eurjpy-d...ex-group-2.png
will buy:129.62
will go up:131.62
profit:200pips
:woo::happy:
My analysist for eurjpy today,15 july 2013 using open price market at 00.00 broker time strategy
daily open 129.94
buy stop 130.14 tp 130.34 sl 129.54
sell stop 129.74 tp 129.54 sl 130.34
happy enjoy trading...
elliott common flat correction up 130.56 corrective dips should ideally halt near 129.37 or 129.17 for one more must thrust upwards towards 129.89 - 130.21 area or 130.60 in extention fall below 128.52 puts it back on a down trend path
support and resistances
res2 130.60
res1 130.21
piovt 129.56
sup1 129.17
sup2 128,52
Analysis Eur/Jpy using pivot indicator :
Resistance 3: 131.27
Resistance 2: 130.61
Resistance 1: 130.21
Pivot: 129.55
Support 1: 129.15
Support 2: 128.49
Support 3: 128.09
"15/07/2013"
Eur/jpy ,15/7/2013
जोड़ी की कमी दिशा : स्थिर .
आज के लिए अपेक्षित लक्ष्य: 130 - 130,5
Hi,,
in the chart 1h we can see the pair will go to down way in the future
I see the pair will go to 128.72
I expect from this analyze that the price will go to down way
so sell from 129.71 to 128.72
good luck
today i like to sell this pair @ 130.10
my stop loss of the day @ 130.43
half take profit for today @ 129.78
and further half take profit @ 129.50
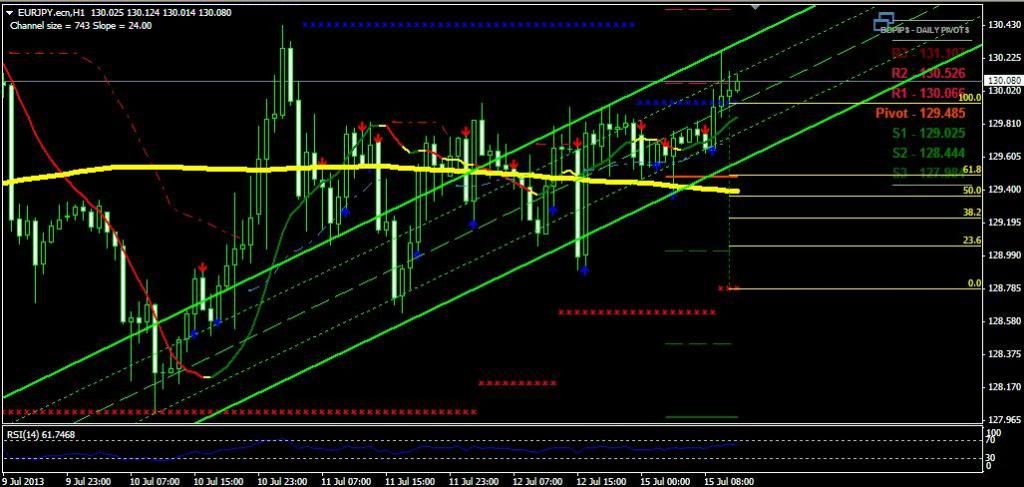
EUR/JPY pair is now up trend. The price already touched daily resistance 1 level (130.066). I think the price may touch daily resistance 2 level (130.526).
http://i1311.photobucket.com/albums/...psad2468f7.jpg
time frame- H1
the price is not able to break the support at the 129.50 level and the moving average 14 is also providing support at 129.75. this is break the resistance at 129.95 and moving up side. we can long this pair with the take profit at 130.50 and stop loss at the 129.50
good luck.
eur/jpy market analysis by using : average directional movement index wilder(14) & average directional movement index(21)
adx wilder(14) level
style : 18.58
+di : 27.37
-di : 16.72
adx(21) levels
adx : 21.64
+di : 23.97
-di : 16.57
time : 1700
date : 15.07.2013
timeframe : 1 hour