-
Have we seen the top at 131.20 then we should soon see a break below 129.80 and then 128.40 for a test of 127.00 and 124.96 And when we manage to break below
124.96 then it is going just one way and that is 118.73 where we should find the long term bottom of an advanced super cycle.
Regards
Check the chart
http://i1292.photobucket.com/albums/...ps225382e9.png
-
My analysist for eurjpy today,04 july 2013 using pivot point strategy
buy stop 130.13 tp 130.33 sl 129.53
sell stop 129.73 tp 129.53 sl 130.33
happy enjoy trading...
-
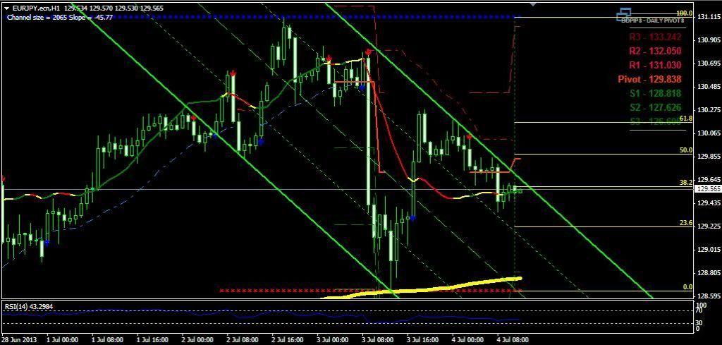
Eur/jpy analysis for 07.04.2013 by using pivot indicator.
r3: 133.18
r2: 132.01
r1: 130.97
pivot: 129.80
s1: 128.76
s2: 127.59
s3: 126.55
-
eur/jpy pair from monthly chart is in a bullish position.
buy would be the better option for this pair.
today we can search for the lower position to open buy around 129.65 with take profit at 131.00
stop loss at 129.25
good luck..
-
time frame- H1
the price has been break the supporting trend line with strong bear candle but its down movement is hold at the fib0 50 level 128.76 and price is moving up. now the support of moving average 14 is try to break so if it is close belwo the 129.80 we can short with the take profit at 128.00 and stop loss at the 130.20
good luck
-
EUR/JPY pair try to move up ward. I think the price may touch daily pivot point (129.838) and Fibo 50.0 level.
http://i1311.photobucket.com/albums/...psd12d2424.jpg
-
The pair remains under strong pressure to bear concentrated their forces in the slide below Alligator course which has steadily strengthened by 4 hour chart Stochastic again formed a sell signal is scheduled to open after a lower fractal 129.36, target of about 128.60, the more that 130.00 figure was not bullish on the teeth.
-
today i like to sell this pair @ 129.00
my stop loss of the day @ 128.67
half take profit for today @ 129.20
and further half take profit @ 129.46
-
yeh oair tu kamal hai is ka move bhi boht acha hai par is time yeh pair upar jay ga . euro ankarib strong ho ga. bus is ka move boht hi acha hai main nay is main kafi bar profite earn kia hai.
-
Hi,,
in the chart 1h we can see the pair will go to down way in the future
I see the pair will go to 127.42
I expect from this analyze that the price will go to down way
so sell from 129.05 to 127.42
good luck