As you see in my following attached chart, down trend line has been broken @ 23% fibo level for the last bearish wave, now up movements are expected targeting 0.8061, 0.8178 and 0.8296.
http://charts.mql5.com/2/73/nzdusd-h...orex-group.png
Printable View
As you see in my following attached chart, down trend line has been broken @ 23% fibo level for the last bearish wave, now up movements are expected targeting 0.8061, 0.8178 and 0.8296.
http://charts.mql5.com/2/73/nzdusd-h...orex-group.png
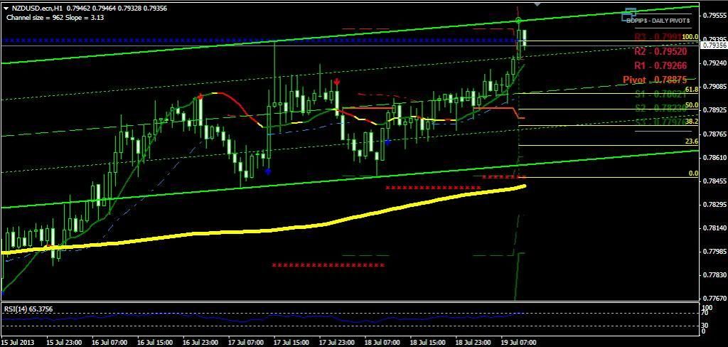
Nzd/usd pivot levels for 19.07.2013 by using fibonacci pivot indicator.
resistant 1:0.7962
resistant 2:0.7934
resistant 3:0.7917
pivot point :0.7889
support 1:0.7861
support 2:0.7844
support 3:0.7816
NZD/USD pair price already touched daily resistance 1 level (0.78875) and upper trend line. Now the price is down trend. I think the price may touch Fibo 61.8 level.
http://i1311.photobucket.com/albums/...ps271acf21.jpg
nzd/usd market analysis by using : average directional movement index wilder(14) & average directional movement index(14) on 19.07.2013
adx wilder(14) level
style : 14.23
+di : 26.10
-di : 13.55
adx(14) levels
adx : 23.04
+di : 23.75
-di : 9.20
time : 1300
timeframe : 1 hour
NZD / USD has made an important and powerful application for the purchase, the couple has managed to break through two very important and strong resistance level (the long-term trend and then a horizontal line 7960) seems to planned new northern trend on the daily chart has begun the testing of bullish divergence MACD.
drifting high
pair is conuite to drift high from yesterday lows 0.7860 testing intra day high 0.7940 and rsistance
NZD / USD looks charted change in trend on the daily chart clearly shows that the pair has managed to break through the sliding alligator, continue practicing their northern stochastic signals and RSI, if now the couple will be able to strengthen the zone above the upper fractal 7970 and it will be a signal to buy this opens 8000 8040.
On the four hour chart the pair continues to trade between the support level 0.7819 and the resistance level 0.7925 approaching right up to the level of 0.7955. I look forward to the breakdown of resistance 0.7925 and the continued growth of the pair to the 0.8027 level.
Hi,,
in the chart 4h we can see the pair will go to up way in the future
I see the pair will go to 0.8031
I expect from this analyze that the price will go to up way
so buy from 0.7964 to 0.8031
good luck
nzd/usd market analysis by using : average directional movement index wilder(14) & average directional movement index(14)
adx wilder(14) level
style : 25.17
+di : 27.60
-di : 13.12
adx(14) levels
adx : 29.73
+di : 15.20
-di : 14.92
time : 1900
date : 19.07.2013
timeframe : 1 hour