-
I suspect that this could be - especially on .
Will explain the logic ... Much more volatile pairs, even hitting between daily and weekly pivot, as if "thinking. Now I just this case. Fell between 0.7821 0.7808 with daily and weekly pivots.Need now is some sort of that gave rise to the breach of one of them.
-
The pair intraday analysis at H4 using williams percentage range and moving average are showing the pair may still on bullish trend. It may continue to rise today. Try to find good support and then set Long order on it. Today SNR :
R3 : 0.7946
R2 : 0.7885
R1 : 0.7845
Pivot level : 0.7789
S1 : 0.7745
S2 : 0.7690
S3 : 0.7645
-
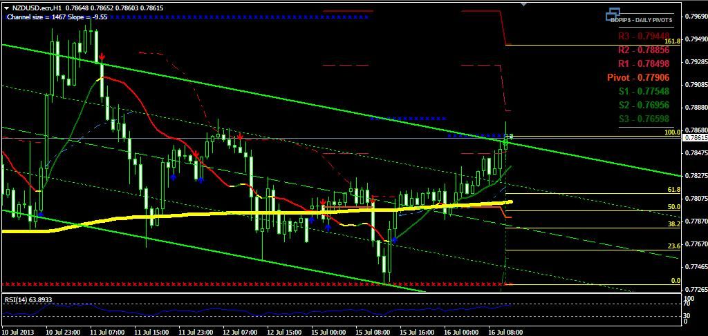
NZD/USD pair is now bullish power. The price already breakout daily resistance 1 level (0.78498). I think the price may touch daily resistance 2 level (0.78856).
http://i1311.photobucket.com/albums/...ps5b673918.jpg
-
Nzd/usd pivots level for 16.7.2013 by using fibonacci pivot indicator.
Resistant 1 :0.7882
Resistant 2 :0.7845
Resistant 3 :0.7823
pivot point :0.7787
support 1 :0.7751
support 2 :0.7728
support 3 :0.7692
-
today i like to sell this pair @0.7893
my stop loss of the day @ 0.7915
half take profit for today @ 0.7863
and further half take profit @ 0.7835
-
time frame- H1
the rsi indicator is move out from the over bought level 70 and the price is also rejected from the fibo resistance at 61.8. it is making doji pattern and giving us short signal. we can short this pair with the take profit at pivot point 0.7788 and stop loss at the 0.7895
good luck.
-
NZDUSD on a pair on the hourly chart upward correction is almost complete left her grow up a bit to the level of 0.7910, after which I think you can sell a couple targets below will be at the level of 0.7850 on the first drop to the level of 0.7790, I believe that now is a prolonged drop says a lot that the samples previous low
-
On the NZD / USD is now worth catching southern lights out from the horizontal resistance around 7877 that the pair is completely stopped the growth of the north, like in the area again, there was a strong seller, MACD is in the upper area and is preparing to file a sell signal, the first goal - to support 7820 (District 200 MA).
-
http://charts.mql5.com/2/49/nzdusd-d...ex-group-2.png
how are you
we can see in the 1d chart
the pair will go up to fibo 38.2
I see the pair will go to up way to 0.8073
stochastic refers that the pair will go up
so our target buy from 0.7872 and our target will 202pips
Good luck
-
nzd/usd market analysis by using : average directional movement index wilder(14) & average directional movement index(14)
adx wilder(14) level
style : 25.11
+di : 23.43
-di : 12.32
adx(14) levels
adx : 41.54
+di : 23.35
-di : 8.73
time : 1900
date : 16.07.2013
timeframe : 1 hour