-
hi;;
http://charts.mql5.com/2/18/silver-h...orex-group.png
time frame 4h
the pair will go down to fibo 38.2
I see the pair will go to down way to 19.571
rsi refers that the pair will go down
so our target sell from 19.925 and our target will 350pips
Good luck
-
elliott irregular flat correction up 20.39 up trend is still intact in a triangle configuration it should continue to rally to 20.60 or 20/50 if support around 19.95 hold after which a pullback to 19.95 - 19.78 zone is possible
support and resistances
res2 20.84
res1 20.50
piovt 19.95
sup1 19.61
sup2 19.05
-
http://charts.mql5.com/2/20/silver-d...ex-group-2.png
we can see in the 1d chart
the pair can close up the up trend line
i see the pair will go to up way to 23.096
stochastic refers that the pair will go up
so our target buy from 19.960 and our target will 3102pips
Good luck
-
silver market analysis by using : average directional movement index wilder(14) & average directional movement index(14)
adx wilder(14) level
style : 31.16
+di : 23.18
-di : 19.10
adx(21) levels
adx : 13.86
+di : 12.58
-di : 18.24
time : 0700
date : 12.07.2013
timeframe : 1 hour
-
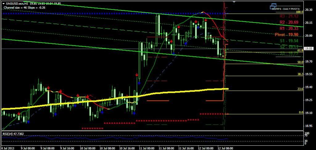
Silver analysis for 07.12.2013 by using pivot indicator.
r3: 21.395
r2: 20.820
r1: 20.460
pivot: 19.885
s1: 19.525
s2: 18.950
s3: 18.590
-
Silver price already touched lower trend line. Now the price try to move up ward. I think the price may touch daily pivot point (19.90).
http://i1311.photobucket.com/albums/...psd48e1e04.jpg
-
time frame- H4
the price is break its channel pattern at the resistance side and move to the 20.10 level but it is again rejected with making a doji pattern followed with a bearish candle so down movement is expected. we can short this pair to the take profit at 19.00 and stop loss at the 20.10
good luck
-
The bulls on still here. for today silver
i can say nice buy again if next strong intraday high (near price 19.91) was break up by next buyer. let's see.
-
today i like to buy this pair @ 19.74
my stop loss of the day @ 19.50
half take profit for today @ 19.94
and further half take profit @ 20.16
-
http://charts.mql5.com/2/25/silver-h...orex-group.png
how are you
we can see in the 4h chart
the pair will go to down way to the down trend line
i see the pair will go to down way to 19.695
stochastic refers that the pair will go down
so our target sell from 19.795 and our target will 100pips